Publications

A surface science study in project C5 (Libuda) demonstrates that on a cobalt oxide substrate, the ALD precursor hydrogen sulfide compounds acid-base chemistry with redox reactivtiy:
“Redox Dynamics of Co3O4(111) During H2S Adsorption and Decomposition: A Synchrotron Radiation Photoelectron Spectroscopy Study”
J. Hauner, T. Skála, N. Tsud, F. Stavale, Y. Lykhach, J. Libuda
ChemCatChem 2026, 18, e01491

A molecular insight delivered by C6 (Wisser) and S2 (Spiecker) into surface photoreactions triggered by light inside the nuclear magnetic resonance spectrometer, inside the sample holder spinning at more than 10 kHz — a tool that we will exploit further for photopatterning substrates in ChemPrint:
“Operando Magic Angle Spinning Solid-State NMR Spectroscopy of Methanol Photoreforming Over Titania-Coated Silica Monoliths”
F. Ding, K. König, J. Böhmer, F. M. Wisser, E. Spiecker, B. Apeleo Zubiri, D. Wisser
Chem. Eur. J. 2026, 32, e03583

A process for 3D-printing semiconductors with atomic precision using the self-limiting surface chemistry of ALD: It is called atomic-layer additive manufacturing (ALAM) and we have established it for In2S3, to be used as a dopant, in a collaboration between ChemPrint projects S2 (Spiecker) and F4 (Bachmann):
“Atomic-layer additive manufacturing of indium(III) sulfide”
Y. A. Galván Dominguez, S. Khaled, T. Yokosawa, J. Will, S. Kürten, M. Mc Naire, E. Spiecker, L. Bergaoui, J. Bachmann
Chem. Afr. 2026, 9, 43

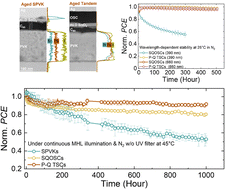
Beyond 25% PCE! Stable for over 1000 hours! A SnO2 layer by ALD to interconnect the two cells in a tandem! All this, and more, in this paper by project F3 (Brabec) in collaboration with C1/F4 (Bachmann), S2 (Spiecker) and S5 (Bär):
“A simultaneous synergistic protection mechanism in hybrid perovskite–organic multi-junctions enables long-term stable and efficient tandem solar cells”
Chao Liu, Kaicheng Zhang, Xin Zhou, Mingjian Wu, Paul Weitz, Shudi Qiu, Andrej Vincze, Yuchen Bai, Michael A. Anderson, Johannes Frisch, Regan G. Wilks, Marcus Bär, Zijian Peng, Chaohui Li, Jingjing Tian, Jiyun Zhang, Jianchang Wu, Jonas Englhard, Thomas Heumüller, Jens Hauch, Yixing Huang, Ning Li, Julien Bachmann, Erdmann Spiecker, Christoph J. Brabec
Energy Environ. Sci. 2026, 19, 1137-1147

A study led by F3 (Brabec) on integrating a sustainable electrode material into perovskite cells, with C1 (Bachmann) contributing an ALD layer that adjusts the band edge alignments:
“Enhancing the viability of p-i-n perovskite solar cells with printable carbon cathode: Origin of polarity inversion”
Tian Du, Hakan U. Dag, Zijian Peng, Jonas Englhard, Anastasia Barabash, Handan Zhang, Jiyun Zhang, Jiayi Tan, Shudi Qiu, Lirong Dong, Michael Wagner, Jens A. Hauch, Fei Guo, Olga Kasian, Julien Bachmann, Christoph J. Brabec
Joule 2026, 10, 102224

Collaboration between project partners C1 & F4 (Bachmann), C5 (Libuda), C6 (Wisser), F1 (Guldi), F3 (Brabec), M2 (Müller) and M3 (Zahn) for the development of a solution ALD method towards a halide perovskite and its functional application in photovoltaics:
”Solution ALD of (CH3NH3)(PbI3) Perovskite Thin Films Yields Functional Quality and Stability Superior to Classical Processing”
Vanessa M. Koch, Xinyi Zeng, Andreas S. Deckert, Pascal Büttner, Evanie Franz, Fei Ding, Michael A. Anderson, Jiyun Zhang, Christian Kupfer, Elena A. Mack, Vipul K. Ambasta, Patrick Duchstein, Katharina E. Dehm, Stevie Furxhiu, Achim Zahl, Johannes Frisch, Felix Hoga, Tobias Stubhan, Regan G. Wilks, Zijian Peng, Olaf Brummel, Ryan W. Crisp, Dirk Zahn, Carolin Müller, Dirk M. Guldi, Marcus Bär, Dorothea Wisser, Jörg Libuda, Christoph J. Brabec, Julien Bachmann
Angew. Chem. Int. Ed.2026, 65, e13903.

Collaboration between project partners C3 (Dube), F1 (Guldi) and M2 (Müller) for controlling molecular photoreactions:
“From Triplet to Twist: The Photochemical E/Z-Isomerization Pathway of the Near-Infrared Photoswitch peri-Anthracenethioindigo”
Martina Hartinger, Maximilian Herm, Christoph Schüßlbauer, Laura Köttner, Dirk Michael Guldi, Henry Dube, Carolin Müller
Angew. Chem. int. Ed. 2025, 64, e202510626

Collaboration between project partners C2 (Hirsch) and S4 (Maultzsch) for exploiting surface photoreactions to pattern transition metal dichalcogenides:
“Patterned Assembly of Transition Metal Dichalcogenide/Graphene Heterostructures via Direct Laser Writing”
Xin Chen, Stefan Wolff, Sofiia Zuieva, Robert Schusterbauer, Rida Shaikh, Christian E. Halbig, Anton Habel, Roland Gillen, Kathrin C. Knirsch, Ievgen Donskyi, Siegfried Eigler, Janina Maultzsch, Andreas Hirsch
Adv. Funct. Mater. 2025, 35, 2425776

From project F5 (Halik):
“Deciphering Mixed Self-Assembled Monolayers on Metal Oxide
Nanoparticle Surfaces”
Johannes Voß, Lukas Müller, Hyoungwon Park, Marcus Halik
ACS Appl. Mater. Interfaces 2025, 17, 46320–46329
